Systém bodování v soutěži
Existují dvě paralelní soutěže - tipovací soutěž a soutěž týmů. Pro každou platí jiná pravidla. Rozpis bodů je popsán v této části.
Tipovací soutěž
1. Body za správné tipy v TOP6
| správný tip v TOP 6 (individuální závod) | koeficient 1) |
| správný tip v TOP 6 (štafetový závod) | koeficient 1) |
2. Body za české a slovenské závodníky (jen individuální závody)
| správný tip na jméno nejlepšího českého závodníka | 1 bod 2) |
| správný tip na jméno nejlepšího slovenského závodníka | 1 bod 2) |
3. Poziční bonusy
| přesná pozice závodníka v individuálním závodě | 0.5 bodu 3) |
| přesná pozice týmu ve štafetovém závodě | 0.5 bodu 3) |
| přesná pozice nejlepšího českého závodníka (nemusí jít o závodníka, jehož jste tipovali za nejlepšího, ale za pozici skutečně nejlepšího závodníka. Podmínkou je start nejméně jednoho závodníka) | 2.5 bodů |
| přesná pozice nejlepšího slovenského závodníka (nemusí jít o závodníka, jehož jste tipovali za nejlepšího, ale za pozici skutečně nejlepšího závodníka. Podmínkou je start nejméně jednoho závodníka) | 2.5 bodů |
| přesná pozice české štafety | 2 body |
| přesná pozice slovenské štafety | 2 body |
| blízká pozice nejlepšího českého závodníka (nemusí jít o závodníka, jehož jste tipovali za nejlepšího, ale za pozici skutečně nejlepšího závodníka. Podmínkou je start nejméně jednoho závodníka) | 0.5 - 2 body 4) |
| blízká pozice nejlepšího slovenského závodníka (nemusí jít o závodníka, jehož jste tipovali za nejlepšího, ale za pozici skutečně nejlepšího závodníka. Podmínkou je start nejméně jednoho závodníka) | 0.5 - 2 body 4) |
| blízká pozice české štafety | 0.5 - 1.5 bodů 5) |
| blízká pozice slovenské štafety | 0.5 - 1.5 bodů 5) |
| přesně uhodnutá kompletní TOP6 v závodě jednotlivců bez pořadí | 5/10/20 bodů 6) |
| přesně uhodnutá kompletní TOP6 v závodě jednotlivců včetně pořadí | 20/40/60 bodů 7) |
| přesně uhodnutá kompletní TOP6 v závodě štafet bez pořadí | 5 bodů |
| přesně uhodnutá kompletní TOP6 v závodě štafet včetně pořadí | 10 bodů |
4. Bodová zvýhodnění
| body získané v domácím prostředí | +10% k základnímu skóre 8) |
| body získané v rámci mistrovství světa | +5% k základnímu skóre 8) |
Soutěž týmů
5. Body do soutěže týmů
Do soutěže týmů se započítávají body za nejlepších 5 závodníků z každého týmu. Je-li tým obsazen méně než 6 závodníky, započítávají se výsledky všech. Body do soutěže týmů odpovídají bodům získaným jednotlivými závodníky v závodech dle pravidel IBU. Za vítězství závodníka je 60 bodů, za poslední bodované, 40.místo je 1 bod.
Poznámky k bodovému systému:
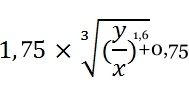
- 1) Koeficient se počítá podle speciálního matematického vzorce:

kde x je počet správně tipujících na daný tip v daném závodě a y je celkový počet tipujících v daném závodě - 2) Platí jen v případě, že nejméně DVA závodníci dané národnosti se umístí na bodované pozici (TOP 40) v závodě. Startuje-li jen jeden, logicky nelze netrefit jméno, případně pokud je jen jeden v TOP40, v takovém případě se body NEUDĚLUJÍ
- 3) Bonus se uděluje pouze za přesný tip na umístění v TOP6
- 4) Body se udělují sestupně za rozdíl mezi tipem a skutečností maximálně o 4 pozice (menší rozdíl, více bodů), za rozdíl o 5 a více pozic je 0 bodů
- 5) Body se udělují sestupně za rozdíl mezi tipem a skutečností maximálně o 3 pozice (menší rozdíl, více bodů), za rozdíl o 4 a více pozice je 0 bodů
- 6) Nejméně (5) bodů je za stíhací závod, 10 bodů je za závod s hromadným startem a 20 bodů je za sprinty a individuální závody. Bonus se nesčítá s bonusem za přesné uhodnutí TOP6 s pořadím.
- 7) Nejméně (20) bodů je za stíhací závod, 40 bodů je za závod s hromadným startem a 60 bodů je za sprinty a individuální závody. Bonus se nesčítá s bonusem za přesné uhodnutí TOP6 bez pořadí.
- 8) Bonusy se přičítají ke skóre složenému z bodů za správné tipy v TOP6 a případné tipy na české a slovenské závodníky, nezapočítávají se k bonusům

